विकास कामे माहिती

vikas-kame-BgmB944962_325166_1760179752007

vikas-kame-IUS23_372426_1760179788154

vikas-kame-JHiYg0_684485_1760179769542

vikas-kame-R72275_493634_1760179778122

vikas-kame-pnlm2338_462741_1760179760018

vikas-kame-vNaKHXIzS49576635_137394_1760179797950

ग्रामपंचायत लासलगांव माझी वसुंधरा अभियान
ग्रामपंचायत लासलगांव माझी वसुंधरा अभियान ५,० शपथ
ग्रामपंचायत लासलगांव माझी वसुंधरा अभियान ५,० शपथ

ग्रामपंचायत लासलगांव माझी वसुंधरा अभियान ५,० शपथ

ग्रामपंचायत लासलगांव माझी वसुंधरा अभियान ५,०

ग्रामपंचायत लासलगांव माझी वसुंधरा ५ अंतर्गत रास्ता खडीकरण

ग्रामपंचायत लासलगांव माझी वसुंधरा ५ अंतर्गत रोपवाटिका

ग्रामपंचायत लासलगांव माझी वसुंधरा ५,० अंतर्गत Bio West

ग्रामपंचायत लासलगांव माझी वसुंधरा ५,० अंतर्गत आकाश घटक अंतर्गत प्रचार प्रसिद्धी
ग्रामपंचायत लासलगांव माझी वसुंधरा ५,० अंतर्गत दत्त मंदिर पाण्याची टाकी प्रचार प्रसिद्धी
ग्रामपंचायत लासलगांव माझी वसुंधरा ५,० अंतर्गत पाटील गल्ली सोलर दिवे

ग्रामपंचायत लासलगांव माझी वसुंधरा ५,० अंतर्गत पाण्याची टाकी रंगकाम
ग्रामपंचायत लासलगांव माझी वसुंधरा ५,० अंतर्गत भूमी थिम वृक्ष लागवड
ग्रामपंचायत लासलगांव माझी वसुंधरा ५,० अंतर्गत रास्ता खडीकरण करणे

ग्रामपंचायत लासलगांव माझी वसुंधरा ५,० अंतर्गत रास्ता खडीकरण

ग्रामपंचायत लासलगांव माझी वसुंधरा ५,० अंतर्गत रोपवाटिका

ग्रामपंचायत लासलगांव माझी वसुंधरा ५,० अंतर्गत शपथ
ग्रामपंचायत लासलगांव माझी वसुंधरा ५,० अभियान
माझी वसुंधरा अभियान ५ ग्रा, पं, लासलगाव लोक जैवविविधता PBR नोंद वही
माझी वसुंधरा अभियान ५ ग्रा, पं, लासलगाव हद्दीतील नोटीस बोर्डवरील दिलेली प्रसिद्धी

माझी वसुंधरा अभियान ५ ग्रा, पं, लासलगाव हेरिटेज ट्री यादी

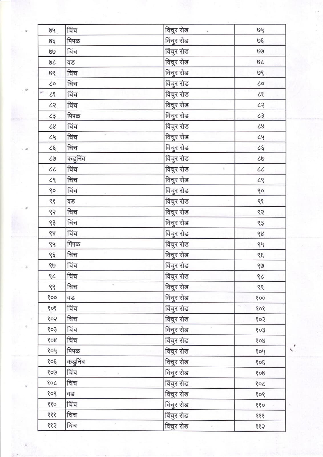
वृक्ष गणना नोंद व प्रसिद्ध यादी - 1

वृक्ष गणना नोंद व प्रसिद्ध यादी - 2

वृक्ष गणना नोंद व प्रसिद्ध यादी - 3

वृक्ष गणना नोंद व प्रसिद्ध यादी - 4

वृक्ष गणना नोंद व प्रसिद्ध यादी - 5

वृक्ष गणना नोंद व प्रसिद्ध यादी - 6

वृक्ष गणना नोंद व प्रसिद्ध यादी - 7

वृक्ष गणना नोंद व प्रसिद्ध यादी - 8

वृक्ष गणना नोंद व प्रसिद्ध यादी - 9

वृक्ष गणना नोंद व प्रसिद्ध यादी - 10